Hallo,
ich habe in Problem mit meiner Physikhausaufgabe.
Eine Feder wird durch ein Gewicht von 500 g um 4 cm gedehnt. Berechne
a) die Federhärte der Feder. Ich habe gerechnet:
F= m*g = 0,5 kg * 9,81 Meter pro Sekunde = 4,91 N
Ferderhärte D= F / S = 4,91 N : 0,04m = 122,75 N/m Ich bin mir aber nicht sicher ob das stimmt.
und jetzt kommts
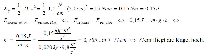
b) wie viel Spannenergie steckt nach dem Zusammenpressen ( die Feder wird um 5 cm jetzt zusammengepresst) in der Feder ?
Ich dachte das rechnet mann mit Espann = 1/2 D*2 hoch2
1/2 122,75 N/m = 61,37 *25 = 1534,25 J
Wie hoch fliegt die Kugel der Masse 20 g? Hier weiss ich jetzt gar keinen Ansatz.......
c) Wie hoch fliegt die Kugel wenn man die Feder nur 2,5 cm zusammenpresst?
Wäre super wenn mir jemand sagen könnte, ob meine Rechnungen oben richtig sind und wie man den Rest ausrechnet.
Vielen Dank